Предмет: Алгебра, автор: Reedlan

помогите, пожалуйста, решить пример. Алгебра 10 класс. распишите, пожалуйста
 \sqrt[3]{1 +  \sqrt{2} }  \times  \sqrt[6]{3 - 2 \sqrt{2} }

Ответы

Автор ответа: 95Katia95
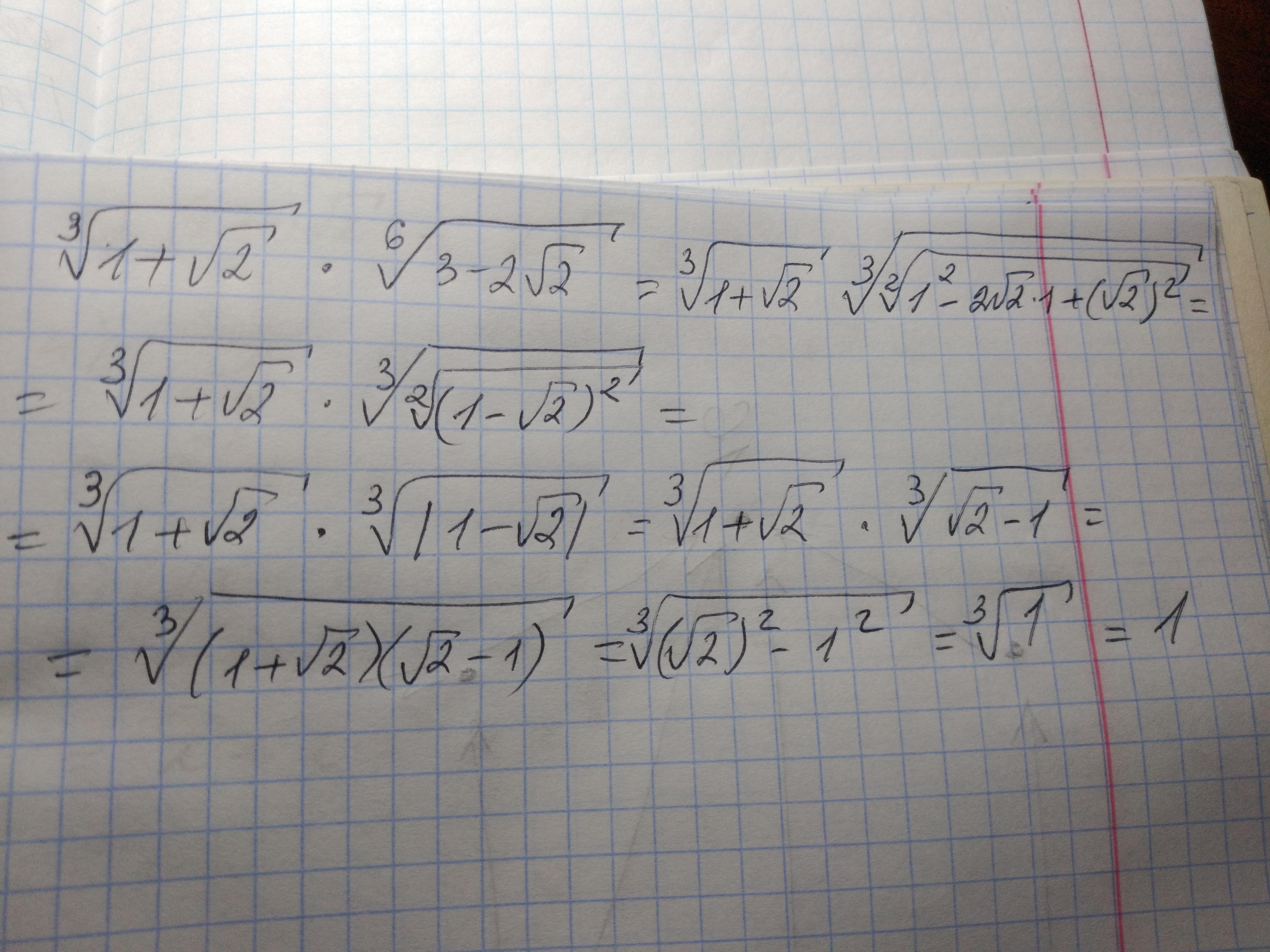
1

Решение приведено на фотографии

Приложения:

Reedlan: спасибо огромное! А можешь объяснить, пожалуйста, после первого равно, как ты разложил(-а) 3-2×корень из 2??
95Katia95: 3 = 1 + 2 = 1^2 + (✓2)^2. А потом просто собрала квадрат суммы по формуле
Автор ответа: sangers1959
1

Объяснение:

\sqrt[3]{1+\sqrt{2} }*\sqrt[6]{3-2\sqrt{2} }  =\sqrt[6]{(1+\sqrt{2})^2 }*\sqrt[6]{3-2\sqrt{2} } =\\ =\sqrt[6]{1^2+2*1*\sqrt{2} +(\sqrt{2})^2  }*\sqrt[6]{3-2\sqrt{2} }  =\sqrt[6]{1+2\sqrt{2}+2 } *\sqrt[6]{3-2\sqrt{2} }  =\\=\sqrt[6]{3+2\sqrt{2} }  *\sqrt[6]{3-2\sqrt{2} }  =\sqrt[6]{(3+2\sqrt{2}*(3-2\sqrt{2}  )}= \sqrt[6]{3^2-(2\sqrt{2)}^2} } =\\=\sqrt[6]{9-8} =\sqrt[6]{1} =1.


Reedlan: тут ничего не понятно
Похожие вопросы