Предмет: Химия,
автор: ekaterinaaa67
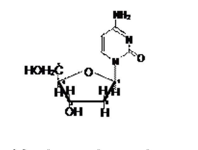
Срочнооо!!!Что это такое???
Приложения:
Ответы
Автор ответа:
1
Правильный ответ: это Нуклеотид
ekaterinaaa67:
А как он называется????
Похожие вопросы
Предмет: Русский язык,
автор: belozerov0522
Предмет: Русский язык,
автор: Dasha8734
Предмет: Английский язык,
автор: Аноним
Предмет: Математика,
автор: olgab2130
Предмет: Химия,
автор: anna16171