Предмет: Алгебра, автор: laysangareeva13

помогите с алгеброй​

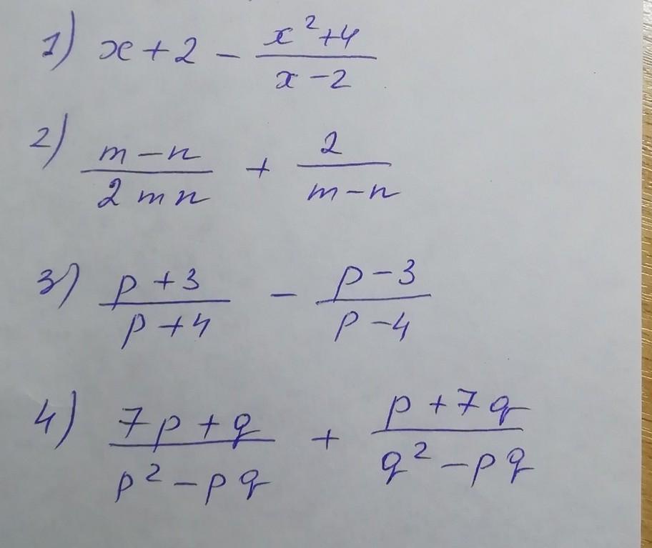
Приложения:

Ответы

Автор ответа: heeeeeeeeeeelpy
1

1)-(\frac{8}{x-2}\\)

2)\\\frac{m^{2} +2mn+n^{2}  }{2m^{2} n-2mn^{2} } \\

3)-( \frac{2p}{p^{2} -16})

4)-( \frac{p+q}{pq} )


laysangareeva13: а в 4 что?
heeeeeeeeeeelpy: незнаю
heeeeeeeeeeelpy: пітаюсь решіть
laysangareeva13: а ты можешь решение тоже прислать пожалуйста
heeeeeeeeeeelpy: попробую написать
Похожие вопросы
Предмет: Математика, автор: MURATBRO11