Предмет: Математика,
автор: dfhfdgjtrt
Дифференциальное исчисление
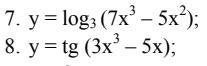
Найти производную каждой функции
Приложения:
Ответы
Автор ответа:
0
Ответ:
решение на фотографии
Приложения:
Похожие вопросы
Предмет: Русский язык,
автор: Kirusik0111
Предмет: Русский язык,
автор: ерик03
Предмет: Английский язык,
автор: bananov10doder
Предмет: Литература,
автор: марина1813
Предмет: Математика,
автор: мишаня108