Предмет: Математика,
автор: andreicosmos527
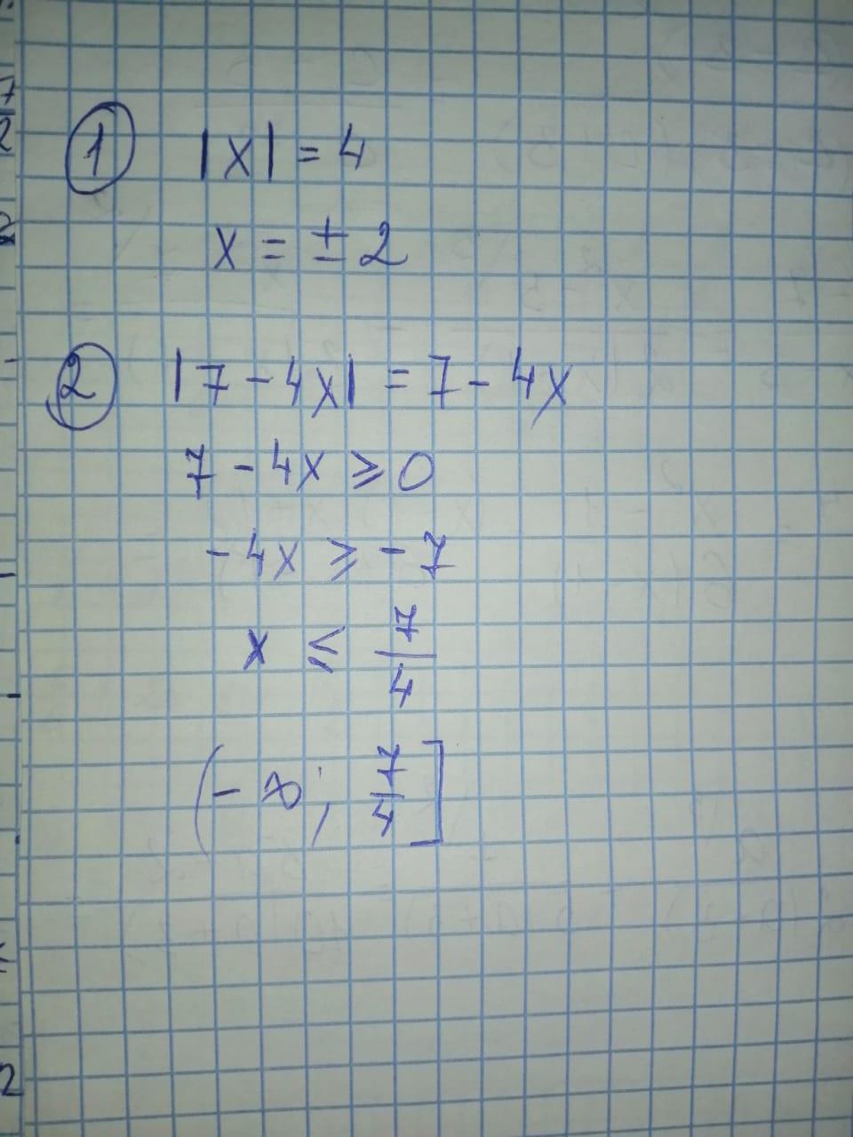
Решите уравнения
даю 20 баллов
Приложения:
Ответы
Автор ответа:
1
Ответ:
Пошаговое объяснение:
Приложения:
andreicosmos527:
а 3,4,5(
Похожие вопросы
Предмет: Русский язык,
автор: Lovely2000Madina
Предмет: Английский язык,
автор: Аноним
Предмет: Английский язык,
автор: Аноним
Предмет: Литература,
автор: vera329
Предмет: Право,
автор: vika210vika