Предмет: Математика,
автор: Devillemon
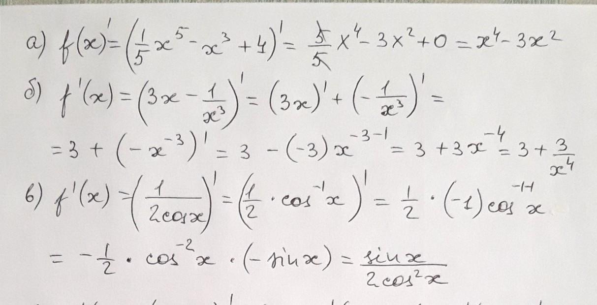
помогите пожалуйста найти ппоизводную функцию
Приложения:
Ответы
Автор ответа:
1
Ответ:
Пошаговое объяснение:
Решено !
Приложения:
Автор ответа:
1
Ответ:
Найдите производную.
Приложения:
Похожие вопросы
Предмет: Русский язык,
автор: danilin2003
Предмет: Английский язык,
автор: Frai111
Предмет: Английский язык,
автор: Neanila
Предмет: Математика,
автор: Фляжка
Предмет: Математика,
автор: хуху2