Предмет: Математика,
автор: hirnyiigor
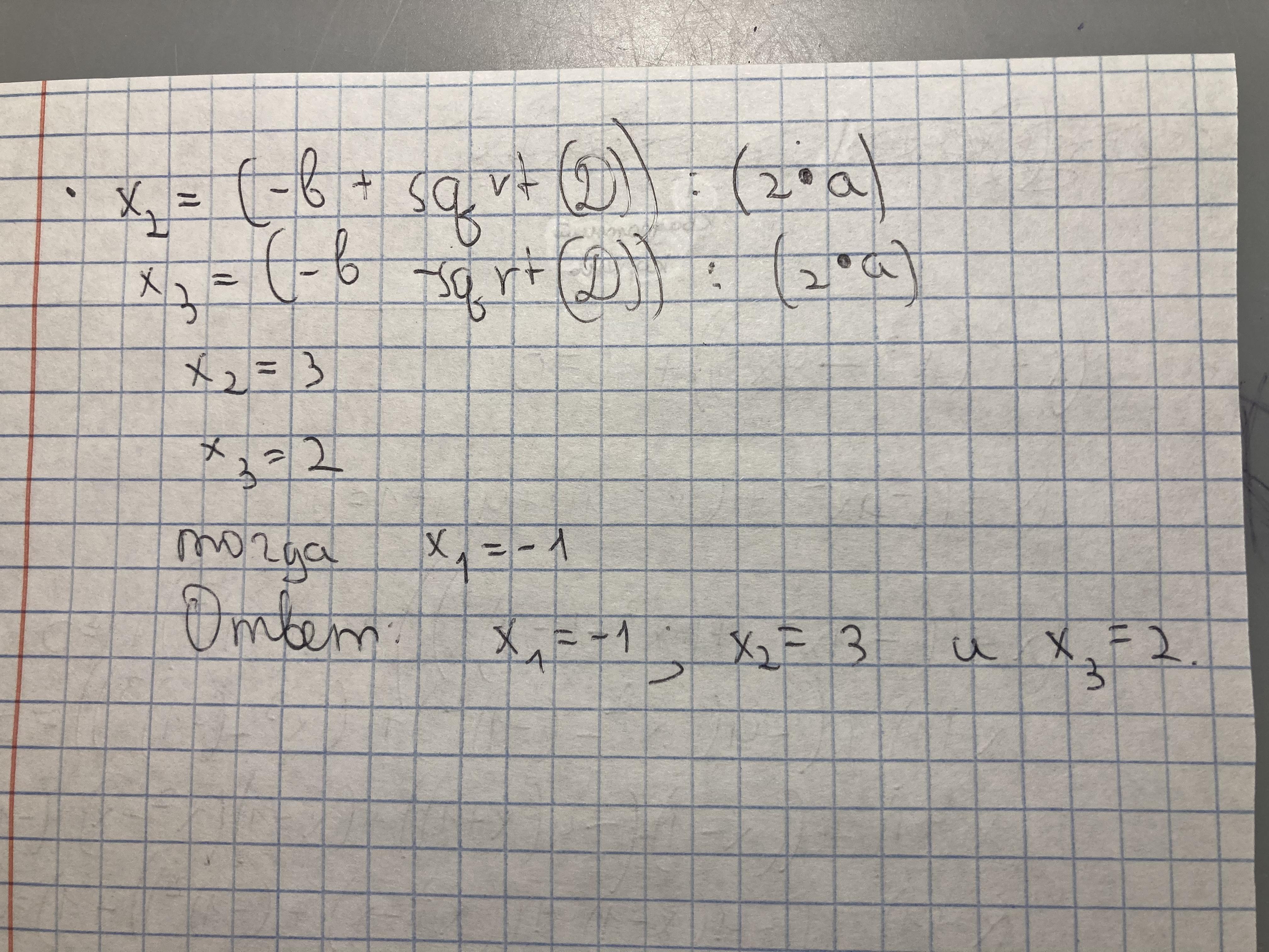
Как решить уравнение x^3–4x^2+x+6=0
Ответы
Автор ответа:
0
Ответ: х1 = -1; х2 = 3, х3 = 2.
Пошаговое объяснение:
См. Файл.
Приложения:
nikdremov63:
Вот так вот вроде, если что сори)
P.S. sqtr - это V2 - это квадратный корень.
Надеюсь, помог.)
Похожие вопросы
Предмет: Русский язык,
автор: CrazYxDemon
Предмет: Русский язык,
автор: 83536424517
Предмет: Русский язык,
автор: steven63646374664647
Предмет: Физика,
автор: lapki228
Предмет: Алгебра,
автор: Ernazar2004