Предмет: Алгебра,
автор: dianaleh2005
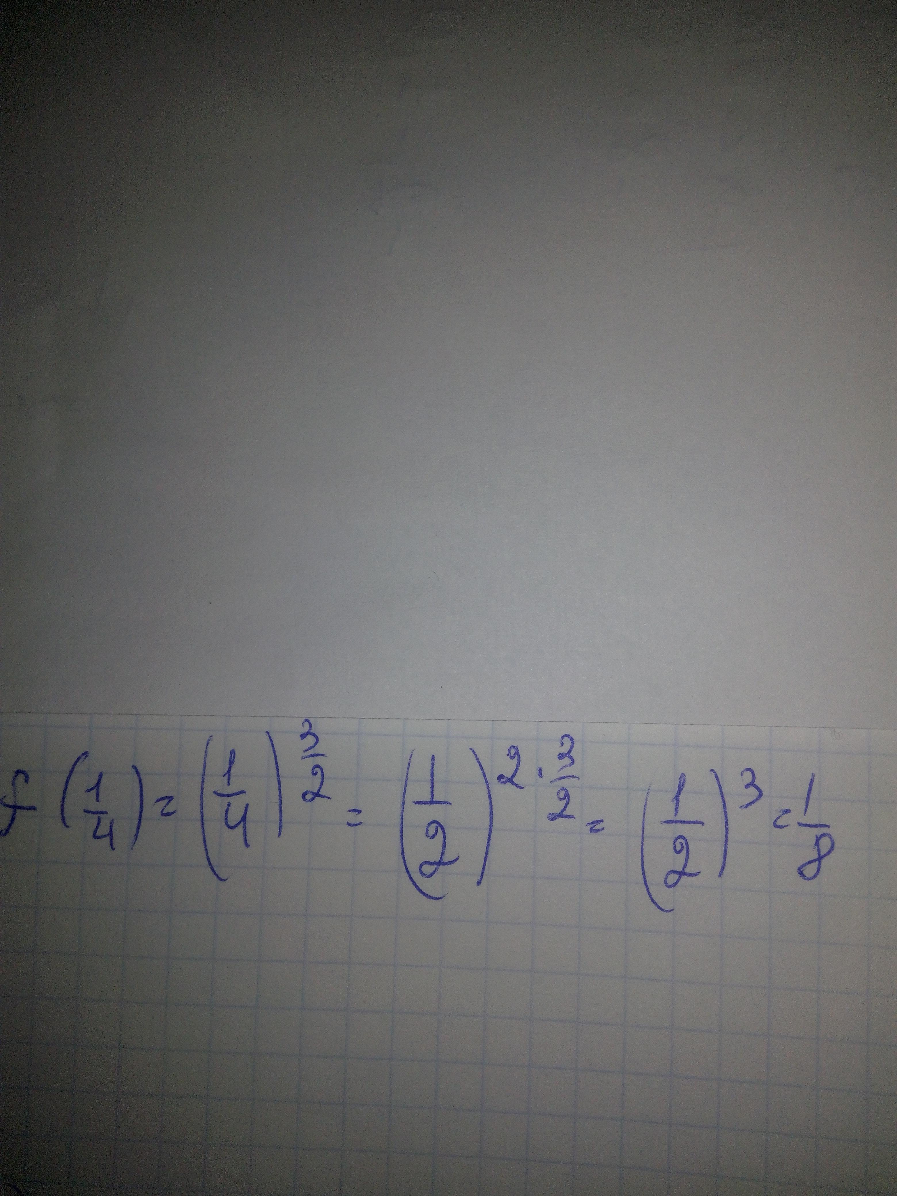
Відомо, що f(r)=r^3/2. Обчисли f(1/4).
Ответы
Автор ответа:
1
Ответ:в файле
Объяснение:
Приложения:
dianaleh2005:
Дуже Дякую
Похожие вопросы
Предмет: Другие предметы,
автор: khozhinaliana2005
Предмет: Русский язык,
автор: egortolchev1
Предмет: Английский язык,
автор: blacksintesis
Предмет: Алгебра,
автор: Shafiklvp
Предмет: Обществознание,
автор: panaitov023