Предмет: Алгебра,
автор: elizwormkos
50 баллов!!!
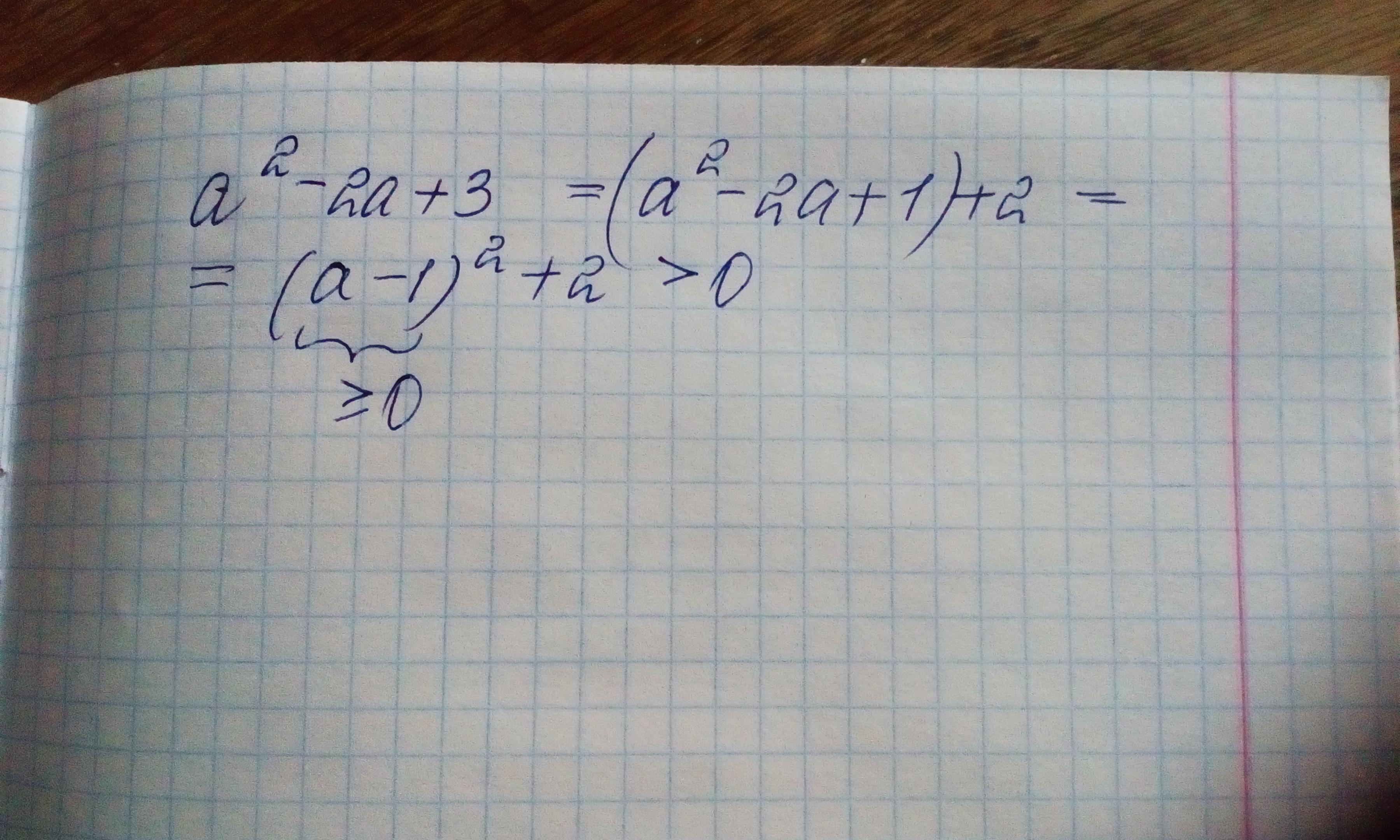
Докажите, что при каждом значении переменной a^2-2a+3 больше 0
Ответы
Автор ответа:
1
Ответ:
Объяснение:
!!!!!!!!!!!!!!!!!!!!
Приложения:
Автор ответа:
1
Выделим полный квадрат из данного неравенства:
(а²-2а+1)+2>0
(a-1)²+2>0
Квадрат любого выражения больше или равен 0, поэтому при любом значении переменной выражение (a-1)²+2 будет больше 0.
Похожие вопросы
Предмет: Русский язык,
автор: Элечка356
Предмет: Русский язык,
автор: оксанаруслан
Предмет: Английский язык,
автор: elubaevas
Предмет: Информатика,
автор: КисаМисса
Предмет: География,
автор: swetlanamirono1