Предмет: Алгебра,
автор: steampavel98
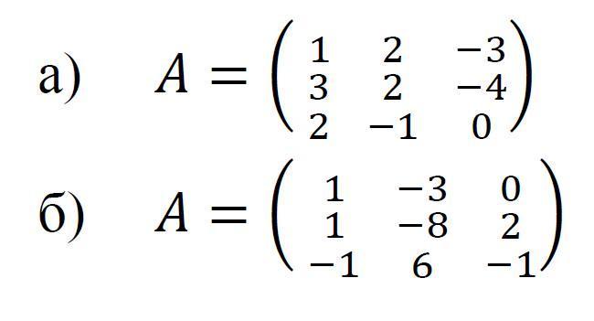
Обратная матрица
С проверкой
Приложения:
Ответы
Автор ответа:
0
Ответ:
иди учиться а не через программы делать
Похожие вопросы
Предмет: Русский язык,
автор: Мерри55
Предмет: Русский язык,
автор: LoveEovlLove
Предмет: Русский язык,
автор: ilya148i
Предмет: Математика,
автор: r27121983
Предмет: Геометрия,
автор: Аноним