Предмет: Математика,
автор: EspadaAkTs4
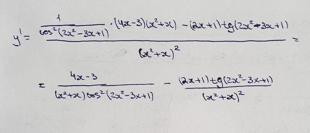
Вычислить производную по правилу нахождения производной частного двух функций
Приложения:
Ответы
Автор ответа:
1
Ответ:
решение на фотографии
Приложения:
Похожие вопросы
Предмет: Русский язык,
автор: payusovartem2014
Предмет: Английский язык,
автор: boxeds
Предмет: Русский язык,
автор: SashaDrags
Предмет: Математика,
автор: Likaask