Предмет: Алгебра,
автор: sasha92929296
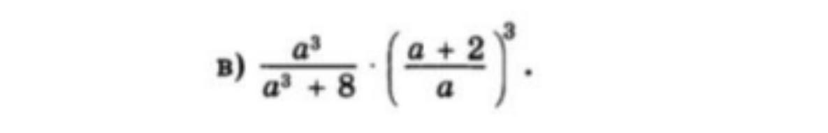
помогите пожалуйста!!! упростить вырожение. алгебра
Приложения:
Ответы
Автор ответа:
1
Ответ:
Объяснение:
a³/(a³+8) * ((a+2)/a)³= a³/(a³+8) *(a+2)³/a³= (a+2)³/(a³+2³)=
=(a+2)³/[(a+2)(a²-2a+4)]= (a+2)²/(a²-2a+b)
Похожие вопросы
Предмет: Другие предметы,
автор: mustang198156
Предмет: Английский язык,
автор: tyotyawifi
Предмет: Английский язык,
автор: Максим29052003
Предмет: Математика,
автор: DenKrutoi
Предмет: Геометрия,
автор: груша9