Предмет: Математика,
автор: XSange
Помогите пожалуйста решить
Приложения:
Ответы
Автор ответа:
1
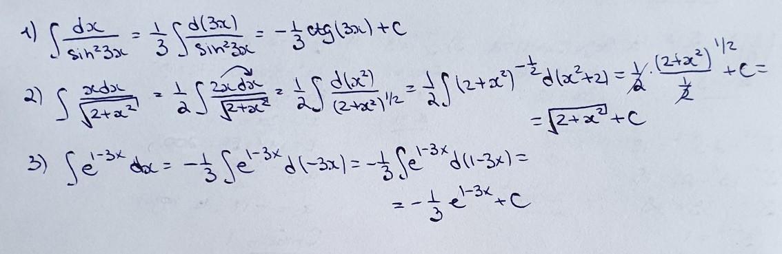
Ответ:
решение на фотографии
Приложения:
Похожие вопросы
Предмет: Русский язык,
автор: mariyamalinskay
Предмет: Русский язык,
автор: ofburmistrova
Предмет: Английский язык,
автор: ritavar
Предмет: Физика,
автор: AzilotikGame
Предмет: Литература,
автор: алорир