Предмет: Геометрия,
автор: Pomykalova1678
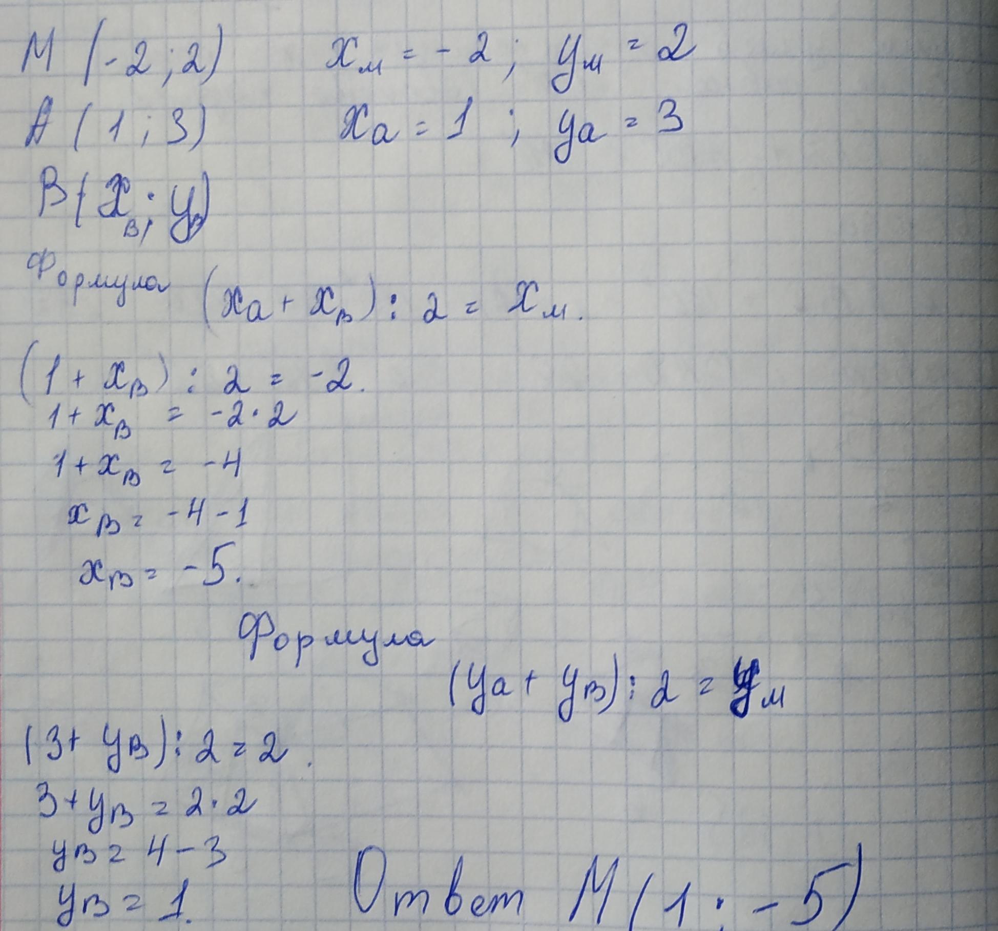
точка м (-2;2)середина відрізка ав .знайдіть координати точки в, якщо а (1;3)
Ответы
Автор ответа:
5
Ответ:
М(1;-5)
Объяснение:
Решение на фото....
Приложения:
Похожие вопросы
Предмет: Русский язык,
автор: isla0617
Предмет: Русский язык,
автор: 13041984
Предмет: Русский язык,
автор: ЭльзаКулиева
Предмет: Математика,
автор: Dasha131215
Предмет: Математика,
автор: DavidZilber