Предмет: Физика,
автор: kasymshaikenov4
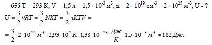
Какова внутренняя энергия идеального газа, находящегося в закрытом сосуде вместимостью 1,5 л при комнатной температуре, если концентрация молекул газа равна 2∙1019 см-3?
Ответы
Автор ответа:
5
Ответ:
Решение к задаче представлено в виде картинки.
Приложения:
Похожие вопросы
Предмет: Қазақ тiлi,
автор: danil1307200
Предмет: Английский язык,
автор: fomicheva2003
Предмет: Другие предметы,
автор: aminnashka
Предмет: Математика,
автор: Аноним
Предмет: История,
автор: зима26