Предмет: Математика,
автор: Аноним
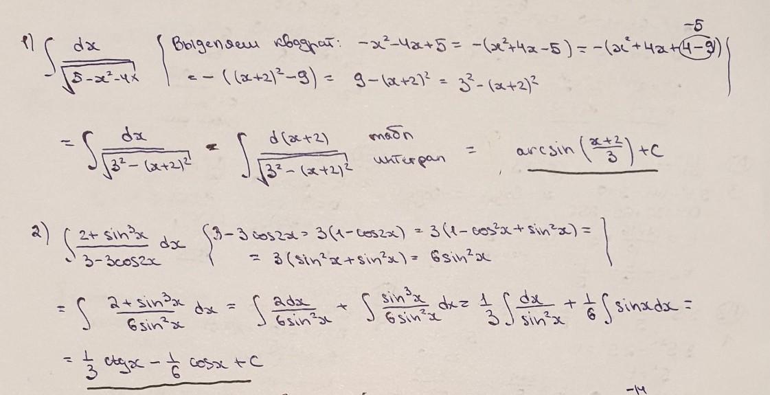
Найдите интеграл Кто разбирается Помогите
Приложения:
Ответы
Автор ответа:
1
Ответ:
решение на фотографиях
Приложения:
Похожие вопросы
Предмет: Русский язык,
автор: azretik8006
Предмет: Английский язык,
автор: yurtaeva72
Предмет: Русский язык,
автор: kotenokmyrrr
Предмет: Математика,
автор: Хэлпер228666