Предмет: Алгебра, автор: weronika421

даю 100 баллов помогите подвлуйста нервіності можно с 3-6, если прям не получается , спасибо заранее​

Приложения:

weronika421: а вот 5 пример не могу понять как
weronika421: а если они исчезнут , то ,что осталось умножить на ,чтр?
Simba2017: 3(3+x)-6 больше или равно -2*5x-6
Simba2017: 3x+3 больше или равно -10x-6
Simba2017: 13x больше или равно -9
Simba2017: х больше или равно -9/13
weronika421: ты мне очень помог спасибо огромноеее , но почему на вопрос не ответил , баллы бы получил?
Simba2017: правда я не пойму, что там в задании написано, пятое я вам полностью решила
Simba2017: девать их некуда, да и полностью все в ответе надо делать...
weronika421: ясно

Ответы

Автор ответа: ekatzmeevvv
1

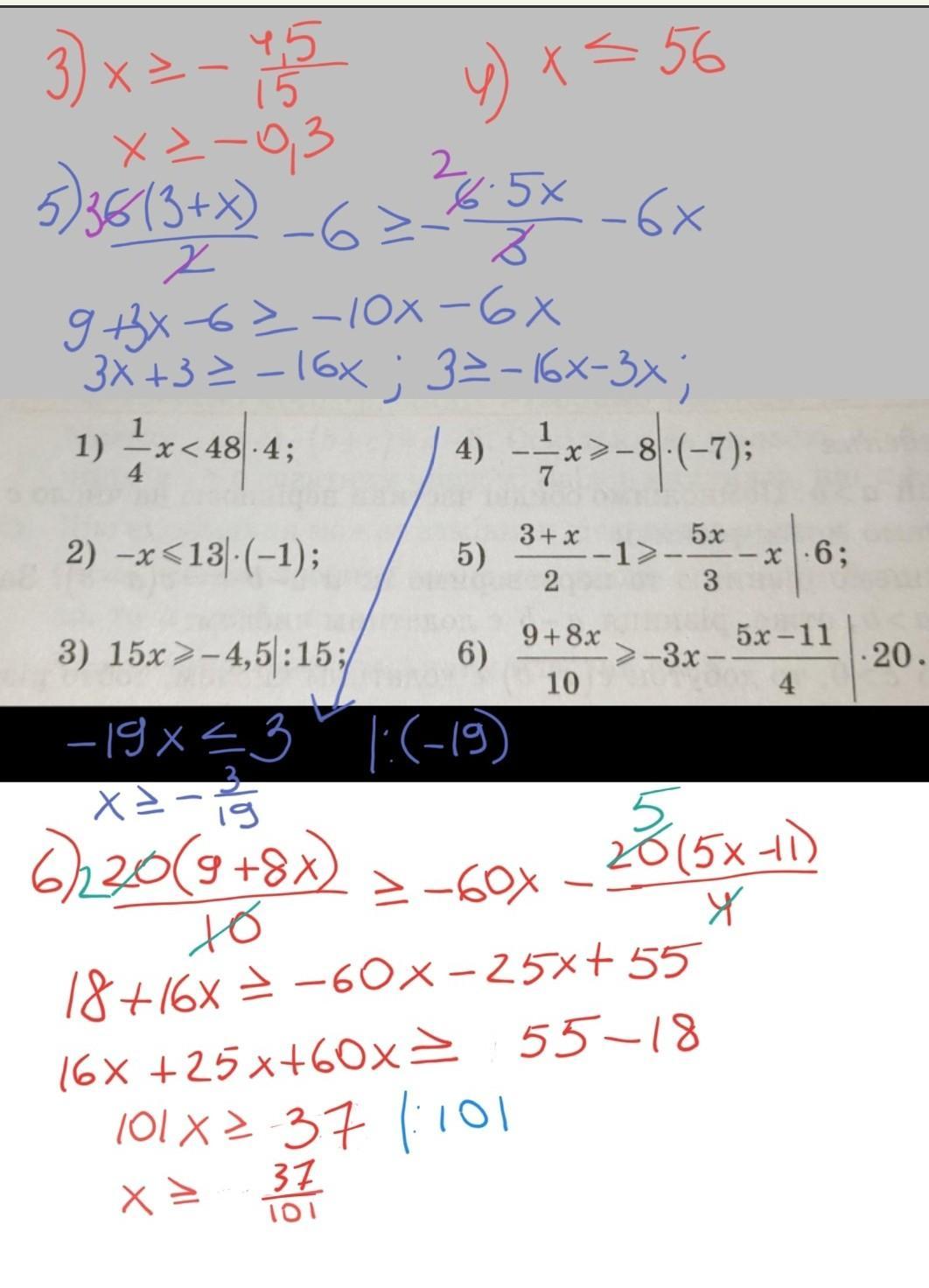
ответы на неравенства 3-6

Приложения:
Автор ответа: naterivercom
1

Ответ:

вроде бы правильно, я переписал более подробно и перепроверил

Приложения:

weronika421: спасибо
ekatzmeevvv: незачто
Похожие вопросы
Предмет: Қазақ тiлi, автор: ryssblin
Предмет: Русский язык, автор: lelMob