Предмет: Алгебра,
автор: cendybaevaajnagl
помогите математика 10класс
Приложения:
Ответы
Автор ответа:
2
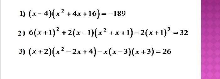
Ответ:
1) -5
2) 5
3) 2
Объяснение:
Здесь везде использую ФСУ, тебе их нужно выучить)
Приложения:
cendybaevaajnagl:
что такое ФСУ?
вбей в поисковик и узнаешь) это формулы сокращенного умножения
Похожие вопросы
Предмет: Русский язык,
автор: Машамаша1234567890
Предмет: Қазақ тiлi,
автор: katya230147
Предмет: Русский язык,
автор: wwwnastykz
Предмет: Обществознание,
автор: Semenosipov00