Предмет: Алгебра,
автор: eliza1370
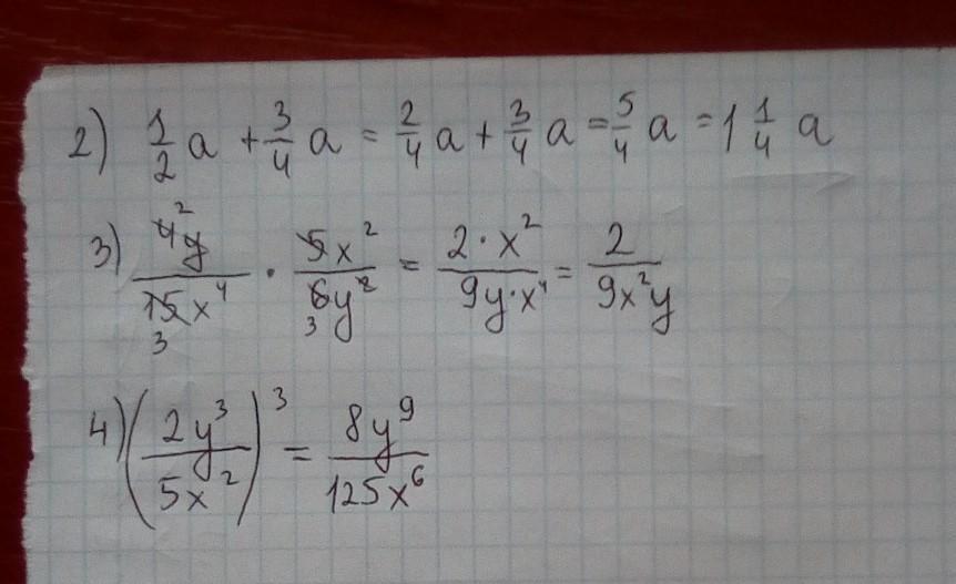
2.Подайте в виде дроби выражение 1/2a +3/4a
3. выполните умножение 4y/15x^4 × 5x^2/6y^2
4.Поднесите к степени (2y^3/5x^2)^3
помогите пожалуйста
срочно нужно !
Ответы
Автор ответа:
1
Объяснение:
Ответ на листочке, вроде все должно быть понятно
Приложения:
Похожие вопросы
Предмет: Русский язык,
автор: pastuhova331
Предмет: Русский язык,
автор: qwe14562
Предмет: Другие предметы,
автор: Каринакрасотка
Предмет: Химия,
автор: radif01
Предмет: Математика,
автор: ЭмилияПетушок