Предмет: Алгебра,
автор: wtbqbtbywttv
помогите.
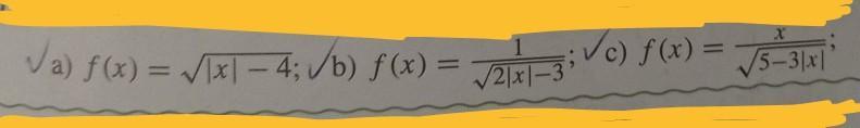
Найти область определения, 11кл, неравенства с модулями
Приложения:
Ответы
Автор ответа:
1
Ответ:
Объяснение:
!!!!!!!!!!!!!!!!!!!!!!!!
Приложения:
Похожие вопросы
Предмет: Русский язык,
автор: aidina20041689
Предмет: Русский язык,
автор: kymar2521
Предмет: Другие предметы,
автор: kristinka200203
Предмет: Математика,
автор: кейсикупер1
Предмет: Алгебра,
автор: Nuar1337