Предмет: Математика,
автор: Аноним
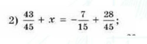
Помогите пожалуйста срочно
Приложения:
Ответы
Автор ответа:
0
х=-0,8,хотела написать на клавиатуре к сожалению не смогла
Приложения:
Похожие вопросы
Предмет: Русский язык,
автор: 15031971larisa
Предмет: Другие предметы,
автор: vadimaxbsm
Предмет: Английский язык,
автор: Хлоринка
Предмет: Алгебра,
автор: Аноним
Предмет: История,
автор: Roman2006Baranov