Предмет: Алгебра, автор: zlayaizraya2000

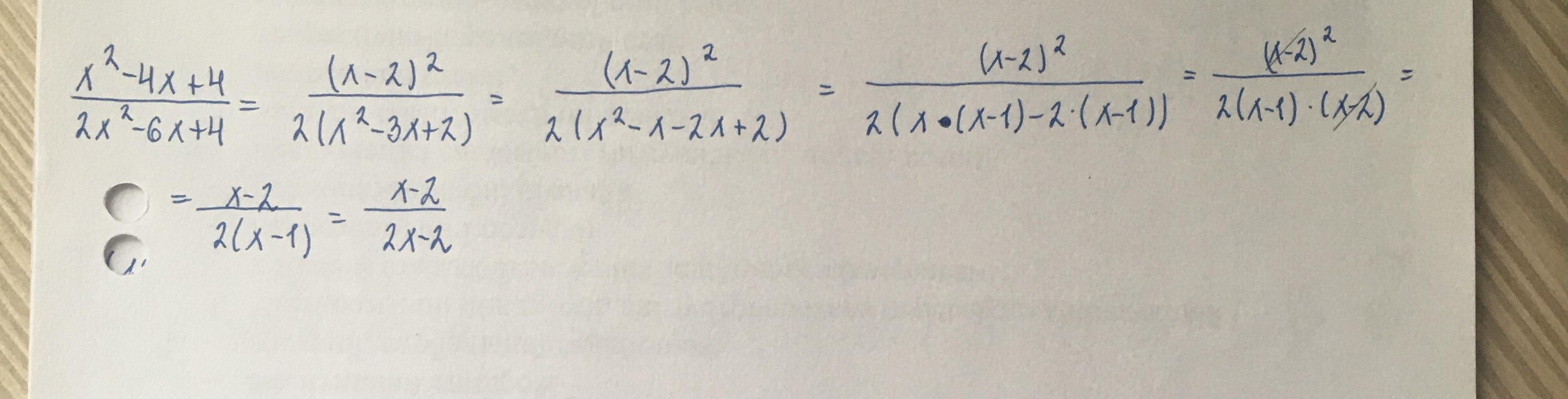
X²-4x+4
————
2x²-6x+4

Ответы

Автор ответа: 87iapq27k4
1

На фото все расписала

Приложения:
Автор ответа: banushh200
0

\frac{x^{2}-4x+4 }{2x^{2} -6x+4} =\frac{(x-2)^{2} }{2(x^{2} -3x+2)}=\frac{(x-2)^{2} }{2(x-1)(x-2)}=\frac{x-2}{2(x-1)} =\frac{x-2}{2x-2}

_________________________________

                Готово!!!Удачи!!

Похожие вопросы
Предмет: Русский язык, автор: dtvd4
Задание: расставьте знаки препинания в предложениях.
1.Перед глазами ехавших расстилалась широкая бесконечная равнина.
2. Сад степь двор всё было в холодной степи.
3. Кузнечики сверчки скрипачи и медведки затянули в траве свою скрипучую монотонную
музыку.
4. Теперь уже ни гор ни неба ни земли ничего не было видно.
5. Всё выглядело радостным и привлекательным зелёная трава шумящая листва солнце
над головой.
6. Дело художника рождать радость.
7. Иметь разборчивый почерк первое правило вежливости.
8. Кругом повсюду мох и внизу под ногами и на камнях и на ветвях деревьев.
9. Рисуй художник вдохновенный картины родины моей.
10. О Север Север – чародей иль я тобою околдован?
11. Как я люблю товарищ мой весны роскошной появленье.
12. Ни один след ни лыжный ни пеший ни человеческий не пересекал дорожную тропу.
13. И чист и тих и ясен свод небес.
14. В эти дни травы и листья таят и несут в себе всё цветение лета и осени.
15.Он рощи полюбил густые уединенье тишину и ночь и звёзды и луну
Предмет: Литература, автор: EeOneGuy12345678901