Предмет: Математика,
автор: Аноним
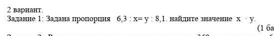
вопрос на фото кто ответит сделаю лучшим
Приложения:
Ответы
Автор ответа:
0
Ответ:
х = 8,1
у = 6,3
Пошаговое объяснение:
Похожие вопросы
Предмет: Английский язык,
автор: karimgr
Предмет: Русский язык,
автор: polinaklimova72
Предмет: Русский язык,
автор: Resto432
Предмет: Алгебра,
автор: irashnytko