Предмет: Геометрия,
автор: hhhsksks
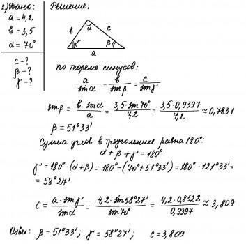
5.4.°Розв'яжіть трикутник за двома сторонами та кутом між ними: b = 7 см, с = 5 см, а = 145°.
Ответы
Автор ответа:
7
Ответ:
всё решение на фото
Приложения:
Похожие вопросы
Предмет: Русский язык,
автор: kudrashka
Предмет: Русский язык,
автор: missisneyman
Предмет: Другие предметы,
автор: sufievs1998
Предмет: Психология,
автор: 0Совушка0
Предмет: Математика,
автор: апыв