Предмет: Алгебра,
автор: nizamovalajlohon
СРОЧНО, ПОМОГИТЕ ПОЖАЛУЙСТА!!! ДАЮ 80 БАЛЛОВ
Приложения:
Ответы
Автор ответа:
1
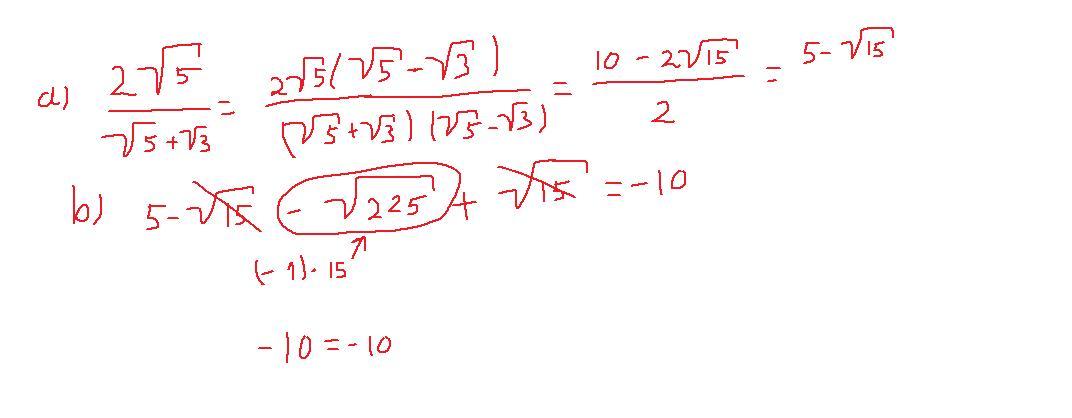
вот ответ на первый вопрос
Приложения:
Автор ответа:
1
Ответ:
Ответ в приложение
Объяснение:
Приложения:
Похожие вопросы
Предмет: Русский язык,
автор: Serega123123
Предмет: Другие предметы,
автор: 984sam984
Предмет: Английский язык,
автор: Nactya195
Предмет: Литература,
автор: рустам208
Предмет: Биология,
автор: ночнаяфурия3