Предмет: Математика,
автор: yarik030809
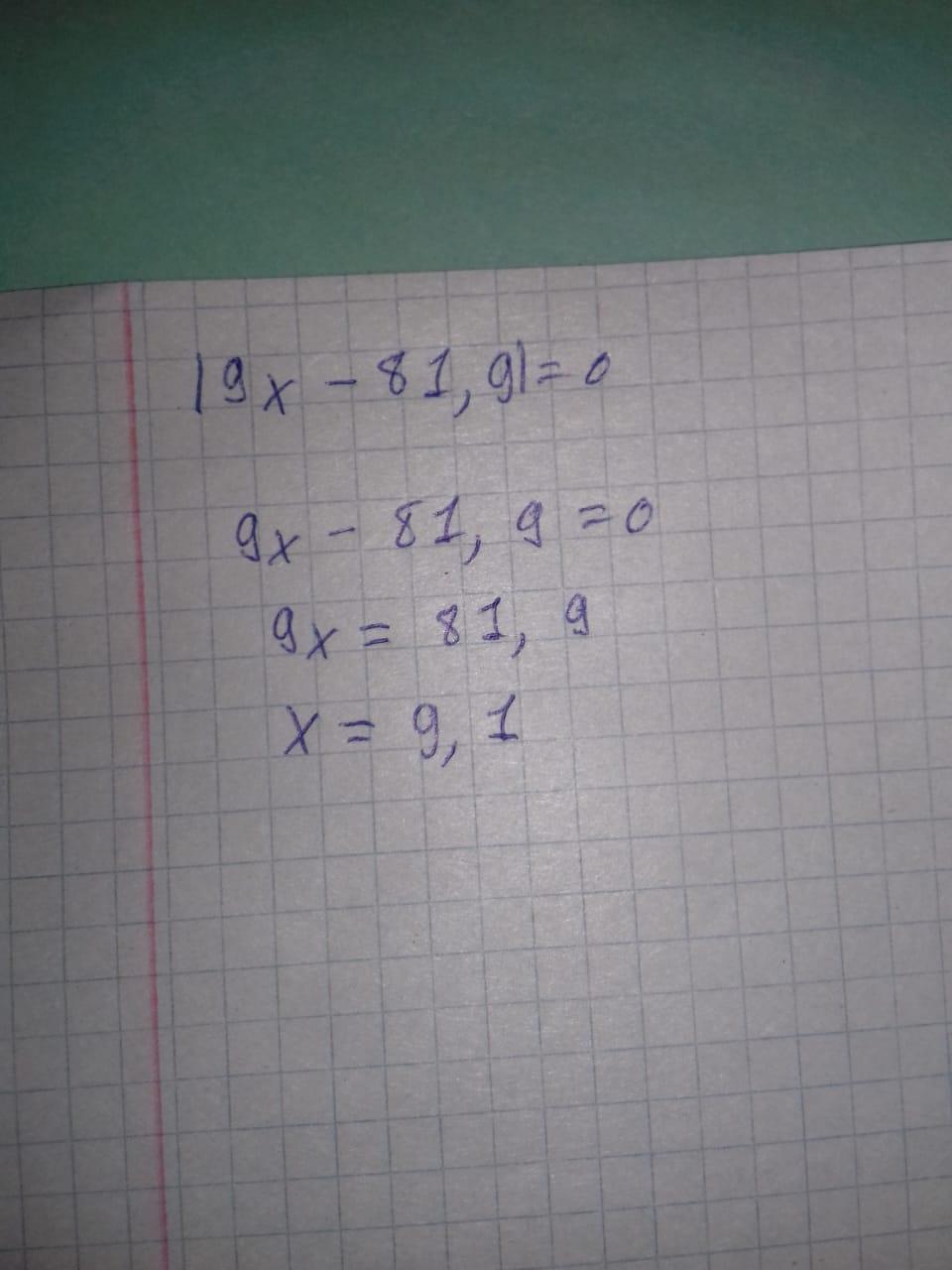
Решите уравнение: |9x–81,9|=0
помогите плиз
Ответы
Автор ответа:
1
Ответ:
Пошаговое объяснение:
Приложения:
Похожие вопросы
Предмет: Русский язык,
автор: gotsaas
Предмет: Русский язык,
автор: pigina2004553
Предмет: Русский язык,
автор: lisenok2007
Предмет: История,
автор: Troy147
Предмет: Математика,
автор: КирусикПупсик