Предмет: Геометрия,
автор: emil1294
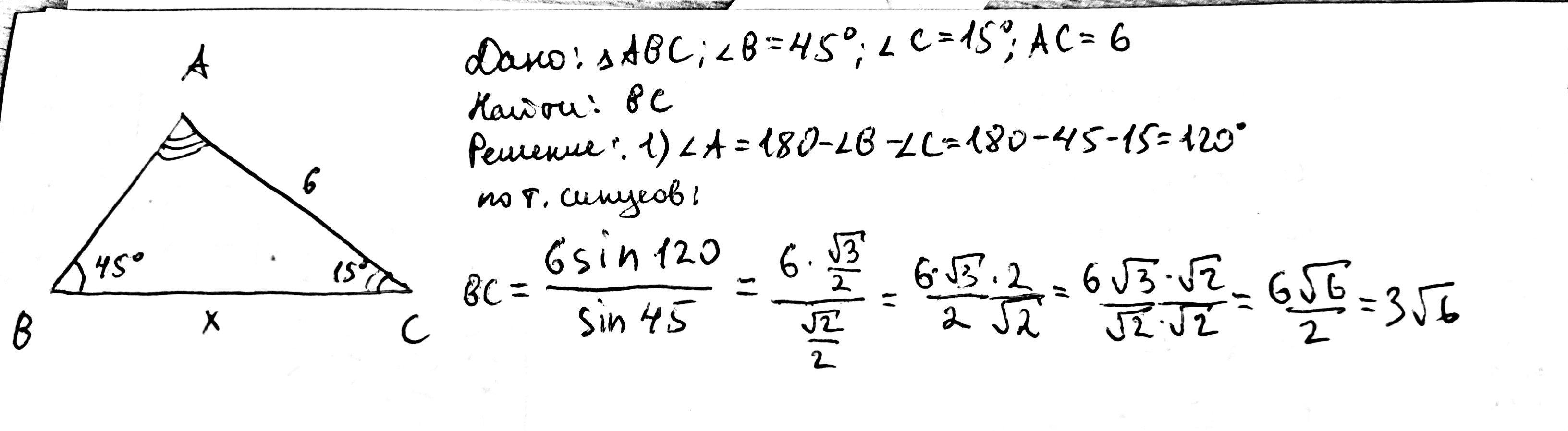
Ответ 3√6, напишите решение пожалуйста)
Приложения:
Ответы
Автор ответа:
0
..................................
Приложения:
Автор ответа:
0
Ответ:
Объяснение: во вложении
Приложения:
Похожие вопросы
Предмет: Русский язык,
автор: msrinso
Предмет: Русский язык,
автор: Drawbaack
Предмет: Русский язык,
автор: kitty2015
Предмет: Геометрия,
автор: витя263
Предмет: Математика,
автор: Julia0109pi