Предмет: Алгебра,
автор: hgtghoyfvky
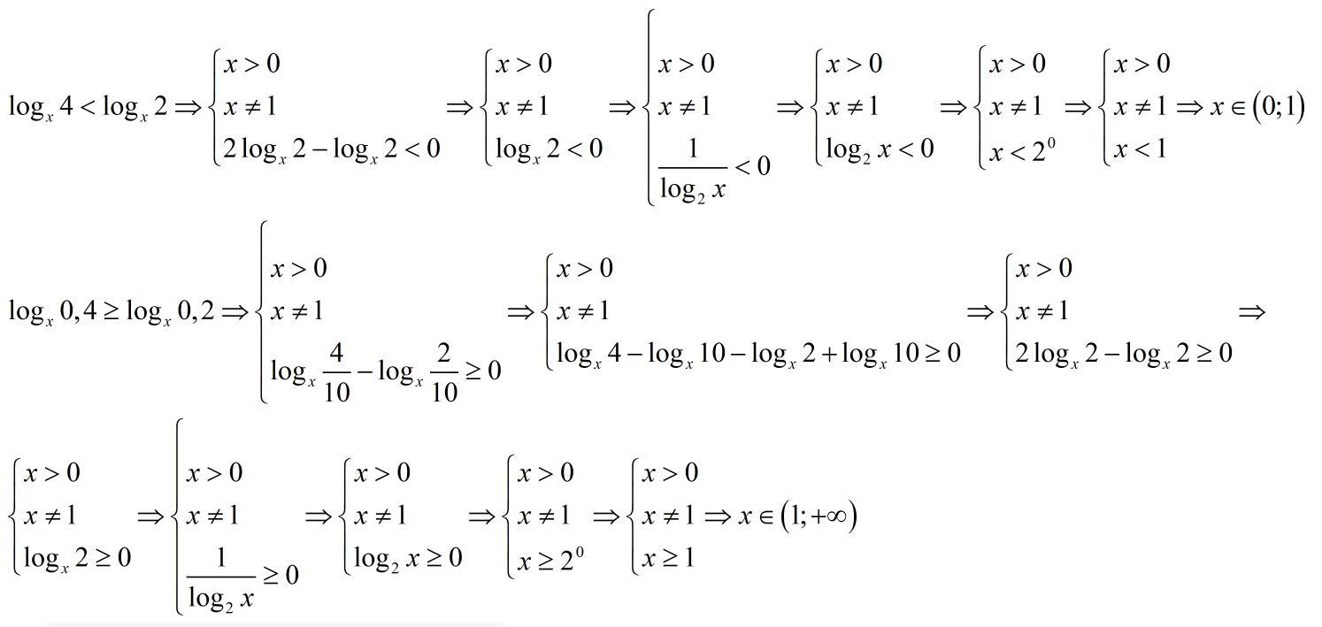
302 Найдите решения логарифмических неравенств log(x снизу)а ≥ log(x снизу)b
Приложения:
Ответы
Автор ответа:
1
Ответ:
Объяснение:
///////////////////////////////////////////////////
в б) log₂x>0
x>2⁰
x>1
Приложения:
Похожие вопросы
Предмет: Другие предметы,
автор: zigmuntyana5
Предмет: Русский язык,
автор: juliaunicorn11
Предмет: Українська мова,
автор: viktoria0027
Предмет: Химия,
автор: Мунира1306