Предмет: Математика,
автор: Pomochnik1vsegda
Вычислить предел, с решением пожалуйста
Приложения:
Ответы
Автор ответа:
0
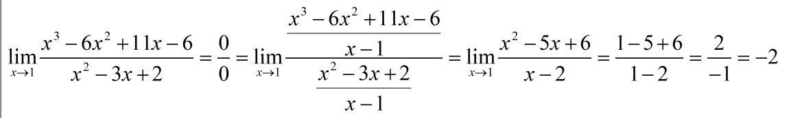
Ответ:
-2
Пошаговое объяснение:
...../////////////////////////////////////
Приложения:
Похожие вопросы
Предмет: Русский язык,
автор: Виноградинка13
Предмет: Английский язык,
автор: wwwspabaewru
Предмет: Другие предметы,
автор: milka111104
Предмет: Химия,
автор: Nicita0901
Предмет: Физика,
автор: kurtevdima0047