Предмет: Алгебра, автор: ismailovagulnaz42

Помогите пожалуйста срочно

Приложения:

Ответы

Автор ответа: manyny06
1

Ответ:

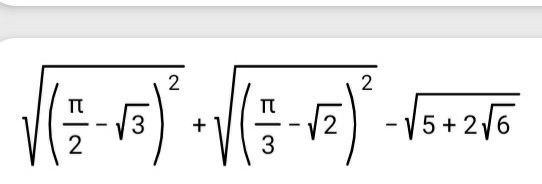
решение на фотографии

Приложения:
Автор ответа: sangers1959
1

Объяснение:

\sqrt{(\frac{\pi }{2}-\sqrt{3})^2  }+\sqrt{(\frac{\pi }{3}-\sqrt{2})^2  }  -\sqrt{5+2\sqrt{6} } =|\frac{\pi }{2}-\sqrt{3}|+|\frac{\pi }{3} -\sqrt{2|}-\sqrt{3+2+2\sqrt{3*2} } =\\   =\sqrt{3}-\frac{\pi }{2} +\sqrt{2}-\frac{\pi }{3}-\sqrt{(\sqrt{3})^2+2*\sqrt{3}*\sqrt{2} +(\sqrt{2})^2   } =\\=\sqrt{3}+\sqrt{2}-\frac{3\pi +2\pi }{2*3}-\sqrt{(\sqrt{3}+\sqrt{2})^2  }=\sqrt{3}+\sqrt{2}-\frac{5\pi }{6}-\sqrt{3}-\sqrt{2} }=-\frac{5\pi }{6}.

Похожие вопросы
Предмет: Другие предметы, автор: nickonorowajul
Предмет: Литература, автор: Натали0509