Предмет: Алгебра,
автор: Leno4ka7777
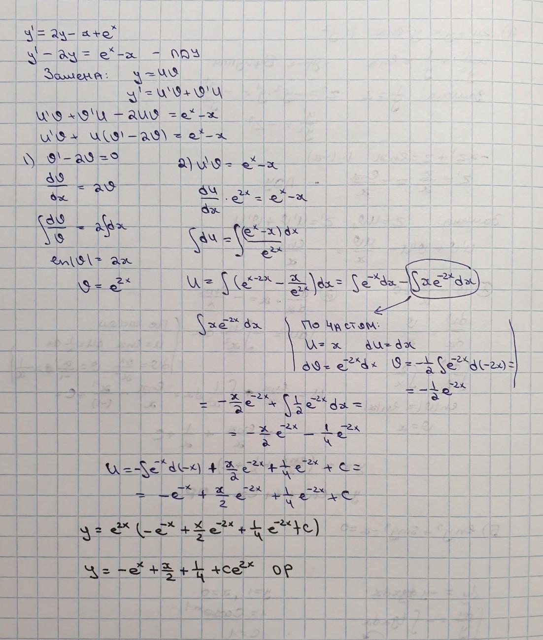
y’= 2y-x +e^x
Помогите решить дифференциальное уравнение
Ответы
Автор ответа:
1
Ответ:
решение на фотографии
Приложения:
Похожие вопросы
Предмет: Другие предметы,
автор: Otvetkg
Предмет: Русский язык,
автор: sahkamatvey
Предмет: Русский язык,
автор: polku
Предмет: Биология,
автор: margo1000000
Предмет: Математика,
автор: marinaostankova