Предмет: Математика,
автор: Аноним
плиз все равно брат
Приложения:
Ответы
Автор ответа:
0
Ответ:
Надеюсь всё хорошо видно :)
Пошаговое объяснение:
Приложения:
Автор ответа:
0
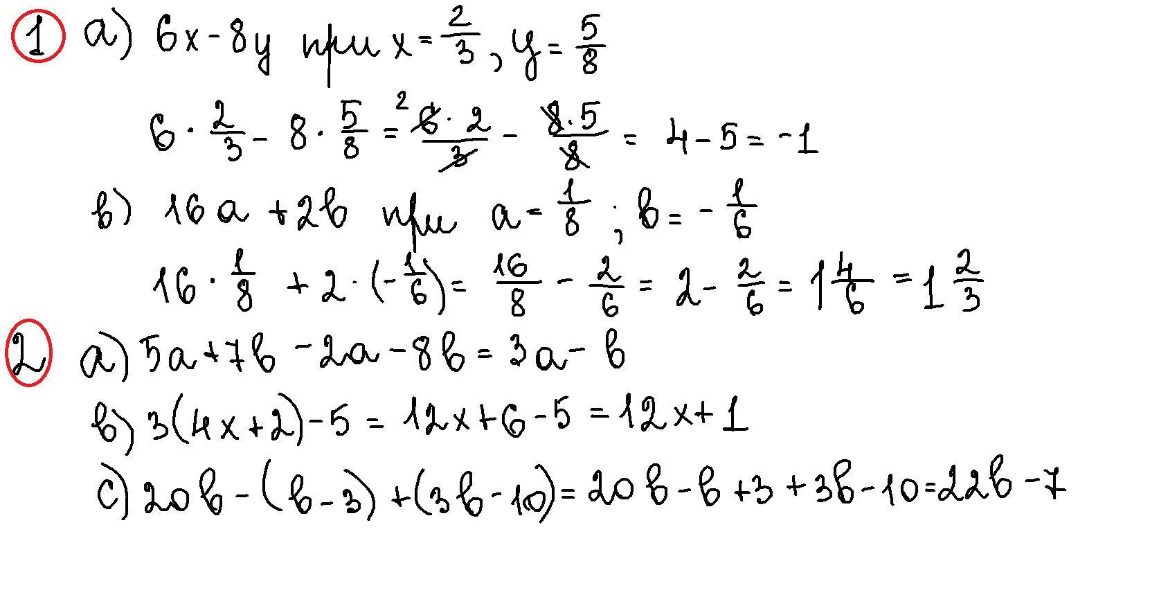
КОНТРОЛЬНАЯ РАБОТА 1.
1.
а) если x = 2/3, y = 5/8, то
6x - 8y = 6 * 2/3 - 8 * 5/8 = 4 - 5 = -1
b) 16a + 2b = 16 * 1/8 + 2 * (-1/6) = 2 + (-1/3) = 1 2/3
2.
a) 5a + 7b - 2a - 8b = 3a - b
b) 3 * (4x + 2) - 5 = 12x + 6 - 5 = 12x + 1
c) 20b - (b - 3) + (3b - 10) = 20b - b + 3 + 3b - 10 = 22b - 7
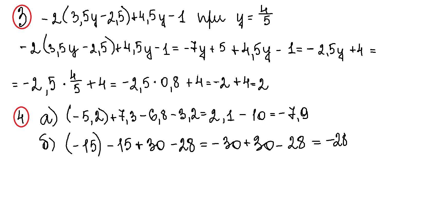
3.
-2 * (3,5y - 2,5) + 4,5y - 1 = -7y + 5 + 4,5y - 1 = -2,5y + 4
если y = 4/5, то
-2,5y + 4 = -2,5 * 4/5 + 4 = -2 + 4 = 2
4.
a) (-5,2) + 7,3 - 6,8 - 3,2 = -7,9
b) (-15) - 15 + 30 - 28 = -28
УДАЧИ!!)
Похожие вопросы
Предмет: Другие предметы,
автор: zayka2015
Предмет: Русский язык,
автор: Аноним
Предмет: Английский язык,
автор: erke966996
Предмет: Математика,
автор: Aplle2006new
Предмет: Литература,
автор: eduardusmanov