Предмет: Математика,
автор: alishkaavdonina
Раскройте скобки и приведите подобные слагаемые
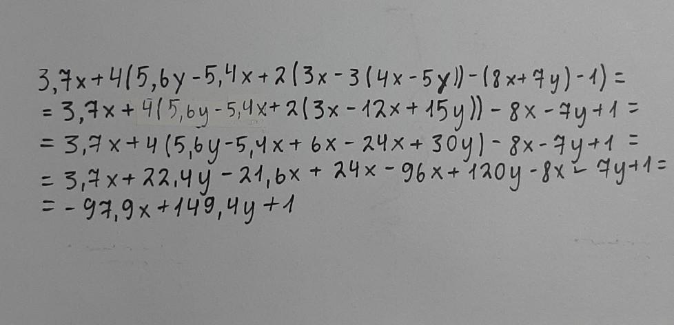
3,7x+4(5,6y-5,4x+2(3x-3(4x-5y))-(8x+7y)-1).
Ответы
Автор ответа:
1
Пошаговое объяснение:
не факт что правильно............
Приложения:
alishkaavdonina:
спасибо большое
Похожие вопросы
Предмет: Русский язык,
автор: kozaevakamila
Предмет: Русский язык,
автор: iro4kavolcenco
Предмет: Русский язык,
автор: marichf
Предмет: Алгебра,
автор: misssviner
Предмет: Обществознание,
автор: kmarkechko