Предмет: Математика,
автор: Аноним
Найдите результат выражения:
Целая часть
Числитель и Знаминатель
Приложения:
Ответы
Автор ответа:
0
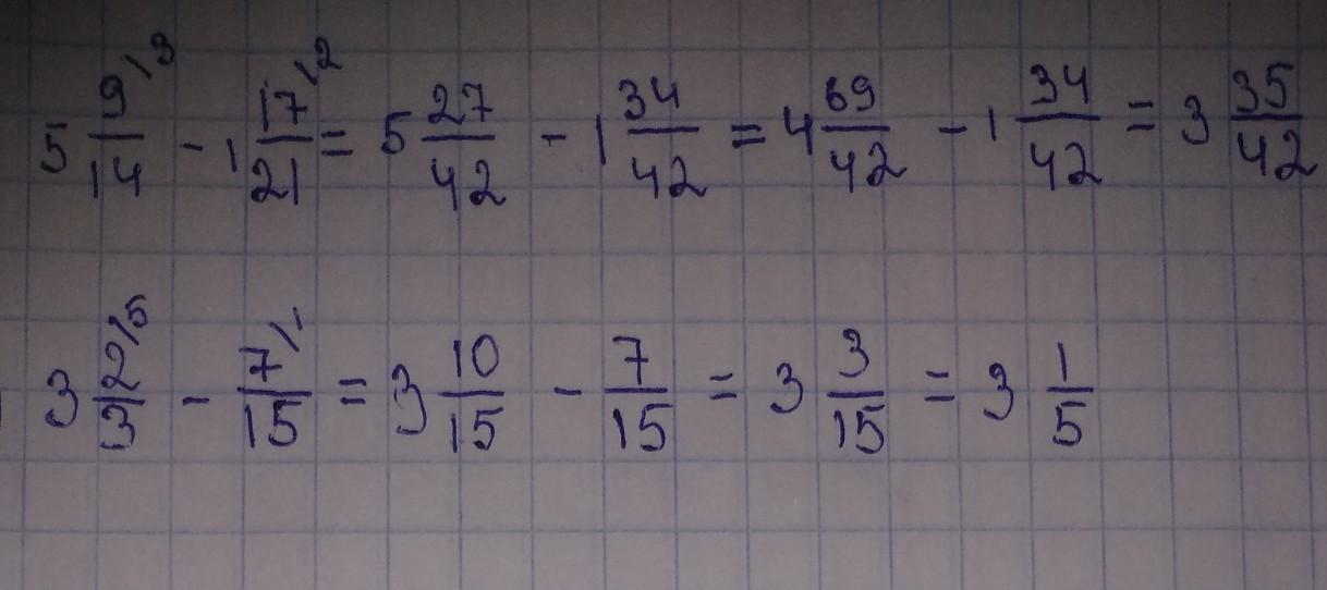
3 2/3-7/15= 3 3/15=3 1/5
5 3/14-3 3/5= 5 15/70-3 42/70=2 -27/70
5 3/14-3 3/5= 5 15/70-3 42/70=2 -27/70
Whitexkatya:
ой сорри 2 неправильно
у меня?
не,у меня
бывает )
Автор ответа:
0
Вроде бы так
Не обращай внимания:
воагаьыщвьчоаьашудыщ
Приложения:
Похожие вопросы
Предмет: Русский язык,
автор: pantera2484
Предмет: Другие предметы,
автор: kopaneva70jmail
Предмет: Английский язык,
автор: LizaPoluluk
Предмет: Математика,
автор: krokobil
Предмет: Право,
автор: боле