Предмет: Алгебра, автор: Artur0760

Разложите на множители: аd²- bd²- bd + ad - a + b


Artur0760: Э yobaresh можно побыстрее а а
Artur0760: Блин
Artur0760: Сук@
Artur0760: Ёбаный лысый ёж
Artur0760: (а-b-d)(d)
Artur0760: (а-b-d)(d).
Artur0760: (а-b-d)(d)..
Artur0760: (а-b-d)(d)...
Artur0760: (а-b-d)(d)....
Artur0760: (а-b-d)(d)................

Ответы

Автор ответа: BN87075941531
1

Ответ:

(а-b-d)(d)

Объяснение:


Artur0760: Это ты из своего соча ответ дал или решил только что?
Автор ответа: yobaresh
1

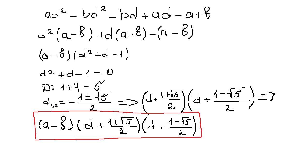
Полное решение приведено на картинке.

Полученное разложение:

(a -b)(d+\frac{1 + \sqrt{5} }{2} )(d+\frac{1 - \sqrt{5} }{2})

Приложения:

Artur0760: Спасибо А то я уж думал что что ты просто потролить меня решил
Artur0760: только вот есть проблема ты там вместо b написал в
Artur0760: Или написала
Похожие вопросы
Предмет: Биология, автор: Метохондрия