Предмет: Физика,
автор: nuralen1994
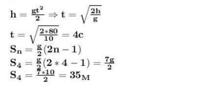
РЕШИТЕ 6,39 полное решение
Приложения:
Ответы
Автор ответа:
0
не блогодорите и смотрите
Приложения:
Похожие вопросы
Предмет: Українська мова,
автор: julia28091
Предмет: Другие предметы,
автор: MAGAMED05
Предмет: Русский язык,
автор: fnhfv
Предмет: История,
автор: FaitLux
Предмет: Литература,
автор: ДАРЬЯ66613