Предмет: Алгебра,
автор: Nastya12062007
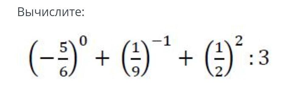
вычислите -5/6⁰+(1/9)-¹+(1/2)÷3 пожалуйста помогите соч
Приложения:
Ответы
Автор ответа:
0
Ответ:
Объяснение:
..,.....................
Приложения:
Похожие вопросы
Предмет: Английский язык,
автор: olke87
Предмет: Английский язык,
автор: asrgjpopka2286
Предмет: Русский язык,
автор: lomonosova1234
Предмет: Биология,
автор: рапапа15
Предмет: Химия,
автор: malkhasyan022