Предмет: Алгебра,
автор: memberid365
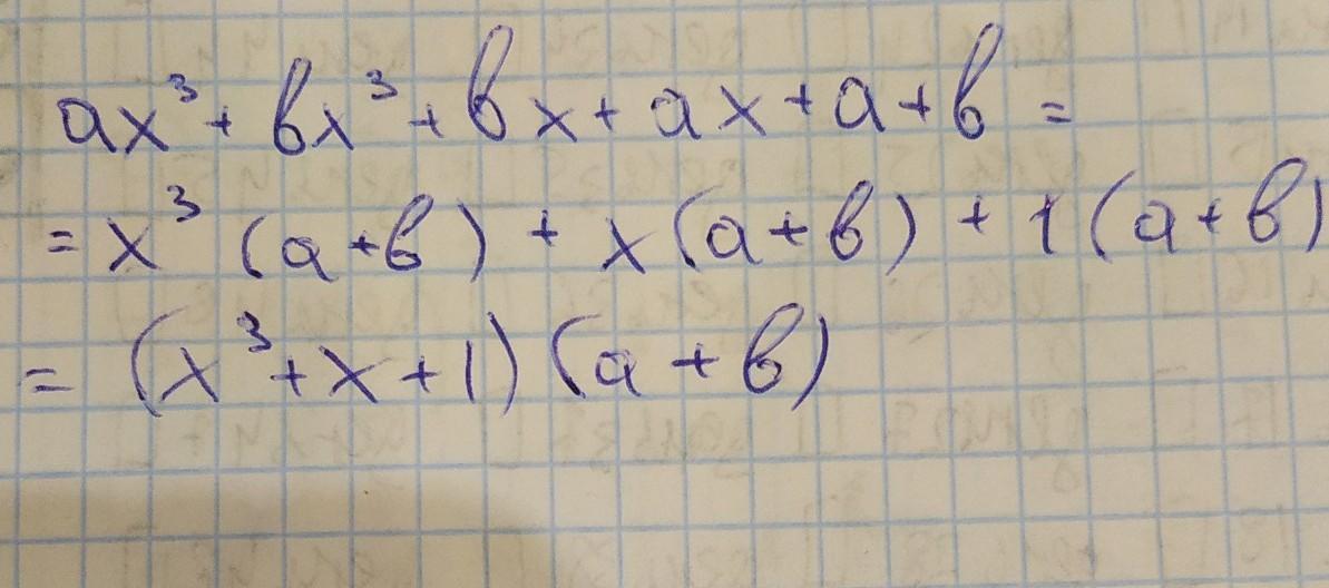
разложите множители:ax³+bx³+bx+ax+a+b
Ответы
Автор ответа:
0
Разложите на множители:
1. Вынесем за скобки общий множитель a и b:
2. Вынесем за скобки общий множитель x³ + x + 1:
Ответ:
Автор ответа:
0
Ответ и решение на фото
Приложения:
Похожие вопросы
Предмет: Русский язык,
автор: danmax
Предмет: Русский язык,
автор: goskomrybaplan1
Предмет: Русский язык,
автор: noroalinaaa
Предмет: Химия,
автор: Аноним