Предмет: Математика,
автор: Karamba02
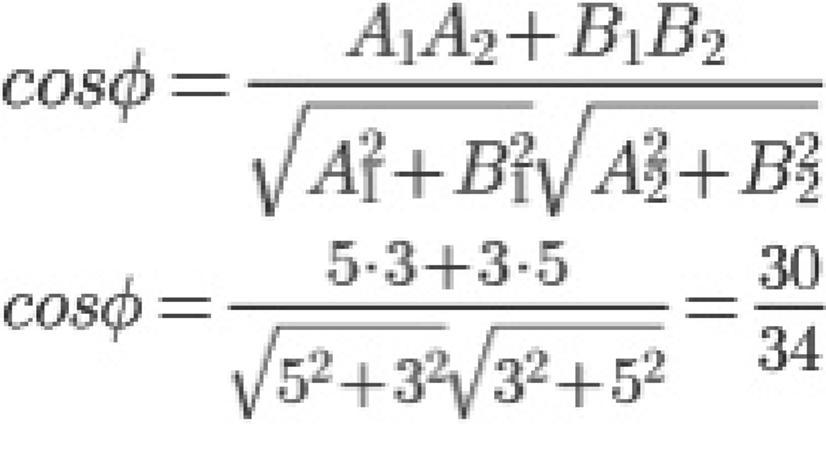
Найдите косинус угла между прямыми l1 и l2.
Приложения:
Ответы
Автор ответа:
1
Косинус угла между прямыми, заданными уравнениями A1x+ B1y+C1 = 0 и A2x+B2y+C2 = 0 можно вычислить по формуле на фотографии
Ответ: 30/34 = 0.88
Ответ: 30/34 = 0.88
Приложения:
Похожие вопросы
Предмет: Русский язык,
автор: привет15
Предмет: Математика,
автор: lenanikitina98
Предмет: Қазақ тiлi,
автор: ohh5
Предмет: Литература,
автор: 0расколбас0