Предмет: Алгебра, автор: husnulinadiana

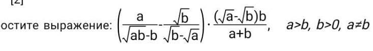
упростите вырожение (а-√d) /(√ad-d) *(√a-√b)b/a+d , a>b, b>0, a≠b
очень нужно, помогите пожалуйста ​

Приложения:

Ответы

Автор ответа: NNNLLL54
26

a>b\ ,\ b>0\ ,\ a\ne b\\\\\\\Big(\dfrac{a}{\sqrt{ab}-b}-\dfrac{\sqrt{b}}{\sqrt{b}-\sqrt{a}}\Big)\cdot \dfrac{(\sqrt{a}-\sqrt{b})\cdot b}{a+b}=\\\\\\=\Big(\dfrac{a}{\sqrt{b}\cdot (\sqrt{a}-\sqrt{b})}+\dfrac{\sqrt{b}}{\sqrt{a}-\sqrt{b}}\Big)\cdot \dfrac{(\sqrt{a}-\sqrt{b})\cdot b}{a+b}=\\\\\\=\dfrac{a+\sqrt{b}\cdot \sqrt{b}}{\sqrt{b}\cdot (\sqrt{a}-\sqrt{b})}\cdot \dfrac{(\sqrt{a}-\sqrt{b})\cdot b}{a+b}=\dfrac{a+b}{\sqrt{b}}\cdot \dfrac{b}{a+b}=\dfrac{b}{\sqrt{b}}=\sqrt{b}


husnulinadiana: спасибо большое,но поздновато
NNNLLL54: когда увидела задание, тогда и решила...
NNNLLL54: или вы вопрос задаёте только для того, чтобы списать ответ вовремя, а не для того, чтобы знать, как решать ?
husnulinadiana: о нет,я не наезжаю,просто сказала,извините
NNNLLL54: а если вы написали спасибо за ответ, то нажмите на кнопочку "спасибо"
Похожие вопросы
Предмет: Английский язык, автор: АлексияСагаРоуз
Предмет: Химия, автор: ангооооо