Предмет: Алгебра,
автор: dbdjsjjdjdje
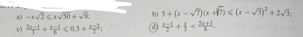
Помогите решить линейные неравенствв пожалуйста :'(
Приложения:
Ответы
Автор ответа:
1
Ответ:
Объяснение:
а) х() ≥ -
х5√2≥ - 2√2
5х ≥ -2
х ≥ -2/5 х ∈[-2/5; +∞)
b) 5+ x² - 7 ≤ x²-2√3 + 3 - 2√3
x²-2≤x²+3
при любом x, x ∈ (-∞; +∞)
с) умножим обе части почленно на 6
4х-2+х-1 ≤3+3х-6
5х-3 ≤3х-3
2х ≤0
х≤0 x∈(-∞;0]
d) умножим обе части почленно на 6
3x -3 + 2x < 5x+1
5x-3< 5x+1
при любом x, x ∈ (-∞; +∞)
dbdjsjjdjdje:
пасиииммбо
очень вам благодарна
я д дописал - отвлекали меня
Похожие вопросы
Предмет: Английский язык,
автор: Ленка260
Предмет: Русский язык,
автор: violayou
Предмет: Русский язык,
автор: kotyreva79mail
Предмет: Математика,
автор: сивкабурка2
Предмет: Математика,
автор: 5стюньчик5