Предмет: Алгебра,
автор: alximiksteampunk
даю все балы это проверочная решите сегодня очень прошу
!!!!!!!!!!!!!!!!!!!!!!!!!!!!!!!!!!!!!!!!!!!!!!!!!!!!!!!!!!!!!!!!!!!!!!!!!!!!!!!!!!!!!!!!!!!!!!!!!!!!!!!!!!!!!!!!!!!!!!!!!!!!
Приложения:
Simba2017:
у меня нет фотика
потому что решение нужно
тогда просто распиши все
с решением
vyjuj- elfkzn dct hfdyj
удалят все
жалко
больше 3 задач в вопросе нельзя, причем небольших
Да по отдельности можешь.
А так спамауты увидят могут удалить
Ответы
Автор ответа:
3
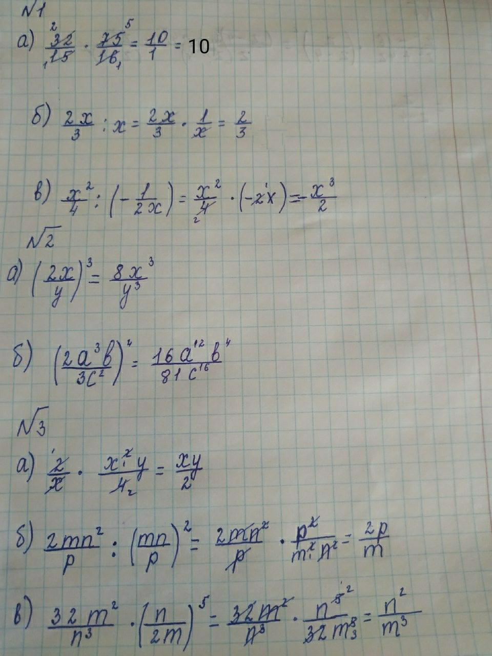
Ответ:
Дан ниже
Все 4 задания
Приложения:
Похожие вопросы
Предмет: Українська мова,
автор: sjfiuanedostup
Предмет: Русский язык,
автор: aevbryansk
Предмет: Математика,
автор: vladimirmara
Предмет: Математика,
автор: Як12
Предмет: Математика,
автор: Лейла1994