Предмет: Математика,
автор: anamirosnecenko3
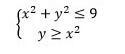
ПОМОГИТЕ ПОЖАЛУЙСТА ТОЛЬКО ПРАВИЛЬНО ДЕЛАЙТЕ изобразите решение системы неравенств на координатной плоскости
Приложения:
Ответы
Автор ответа:
2
Ответ:
===============================
Пошаговое объяснение:
Решение первого неравенства - это круг радиусом 3, включая окружность.
Второе неравенство - часть плоскости, заключенная между ветвями параболы, включая сами ветви
Приложения:
anamirosnecenko3:
большое спасибо
надеюсь что это правильно
просто у меня соч
а можешь на моем акке ещё одно задание решить?
по математике
оно выглядит вот так
В корзине 5 красных, 4 белых и 3 синих шарика. А) сколько способов можно выбрать из корзины 4 шара? Б) сколько способов, чтобы из 4-х выбраных из корзины шаров было бы хотя бы 3 красных шариков
Похожие вопросы
Предмет: Английский язык,
автор: 1007052005
Предмет: Русский язык,
автор: Egor808
Предмет: Английский язык,
автор: azaliya6758
Предмет: Математика,
автор: anton123ton