Предмет: Алгебра,
автор: roman7815100
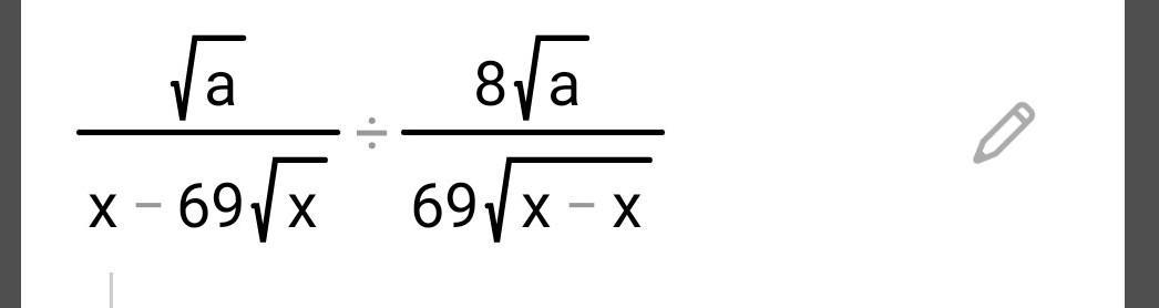
упрастите выражение плиз плиз плиз
Приложения:
Ответы
Автор ответа:
0
Ответ:
при делении любого выражения на 0 получается неопрелеленное выражение
Приложения:
Похожие вопросы
Предмет: Русский язык,
автор: titan2024
Предмет: Химия,
автор: gabibsuper
Предмет: Обществознание,
автор: Sergeiironman
Предмет: Алгебра,
автор: Ленка221379
Предмет: Обществознание,
автор: АнастасияЧ007