Предмет: Алгебра,
автор: azimhanwinigredow
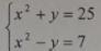
решите систему уравнений
Приложения:
Ответы
Автор ответа:
1
вот такой будет пиши на здоровье
Приложения:
azimhanwinigredow:
спасибо большое
Похожие вопросы
Предмет: Русский язык,
автор: sultanirohid
Предмет: Русский язык,
автор: ali268
Предмет: Українська мова,
автор: Roman1Best
Предмет: Музыка,
автор: igortlt
Предмет: Алгебра,
автор: VoltPlay2069