Предмет: Математика,
автор: Аноним
помогите пожалуйста мне!!!!!
Приложения:
mrusipusi:
я уже все сделал кроме квадратных
расскажи что это
аааа я понял это обычная производная просто показали что все надо делать в производную
сейчас все тебе сделаю
спате хочу
Ответы
Автор ответа:
1
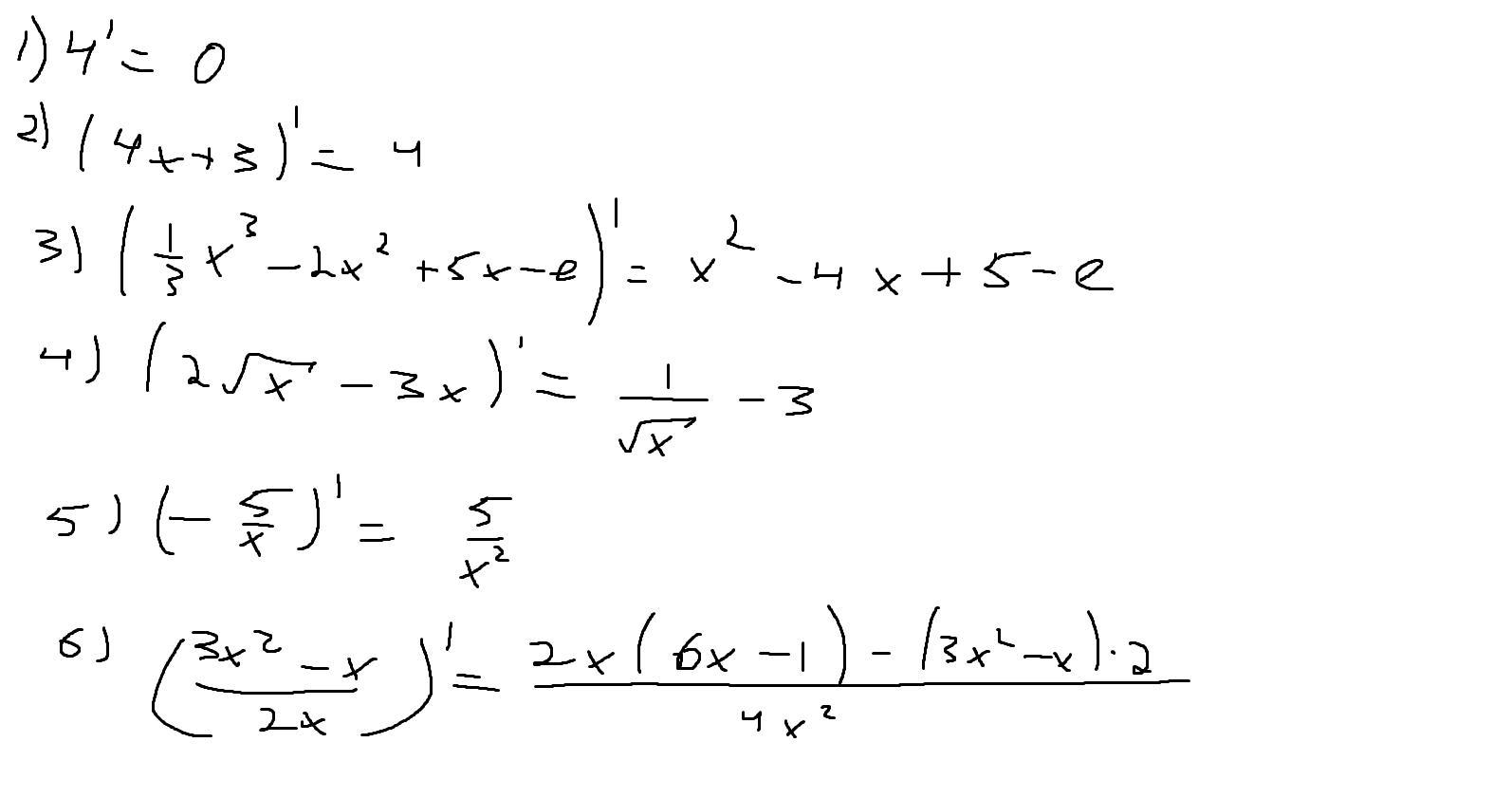
Ответ:
На фото
Пошаговое объяснение: Пожалуйста, поставь "Спасибо"
Приложения:
Похожие вопросы
Предмет: Русский язык,
автор: kostyag7
Предмет: Литература,
автор: alex1880
Предмет: Русский язык,
автор: anymalaniy
Предмет: Математика,
автор: xaxa01