Предмет: Математика,
автор: freezergame001
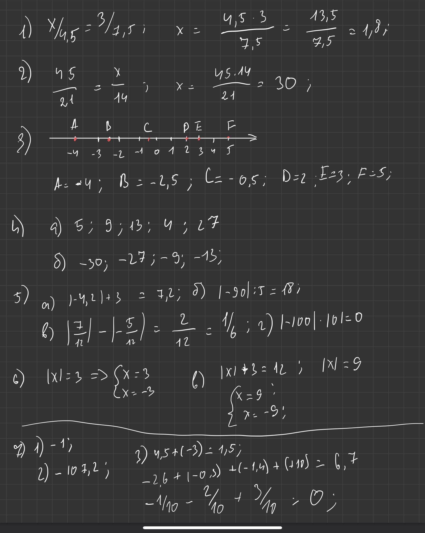
Помогите с математикой пожалуйста
Приложения:
Ответы
Автор ответа:
0
Ответ:
Пошаговое объяснение:
Приложения:
Похожие вопросы
Предмет: Українська мова,
автор: oxansctvitlug
Предмет: История,
автор: maksimnaruto72
Предмет: Русский язык,
автор: RitaIvanova06
Предмет: История,
автор: ЕкатеринаХудякова