Предмет: Алгебра,
автор: Аноним
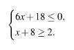
Найдите наибольшее число х, удовлетворяющее системе неравенств
Приложения:
Ответы
Автор ответа:
1
Ответ:
Объяснение:
6x<= -18, x<=-3 u x>=2-8, x>=-6, х E [-6;-3], наибольшее = -3
Автор ответа:
1
Ответ:
наибольшее число -3
Объяснение:
решение внизу
Приложения:
Похожие вопросы
Предмет: Другие предметы,
автор: natashapodoba
Предмет: Русский язык,
автор: lenabich91
Предмет: Биология,
автор: albertrubtsov
Предмет: Химия,
автор: Tatyana3179
Предмет: Математика,
автор: Danvordkv