Предмет: Математика,
автор: bcwwtqbcjyig
Помогите решить примеры
Приложения:
Ответы
Автор ответа:
1
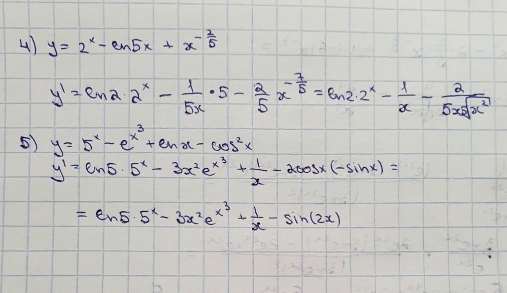
Ответ:
на фото
1,2 и 3 правильно решены
Приложения:
Похожие вопросы
Предмет: Другие предметы,
автор: Ama2200475gdhdh
Предмет: История,
автор: Вафля2002
Предмет: Русский язык,
автор: glasses374
Предмет: Биология,
автор: tahmina8
Предмет: Математика,
автор: mix42