Предмет: Алгебра,
автор: TBORMAMKA
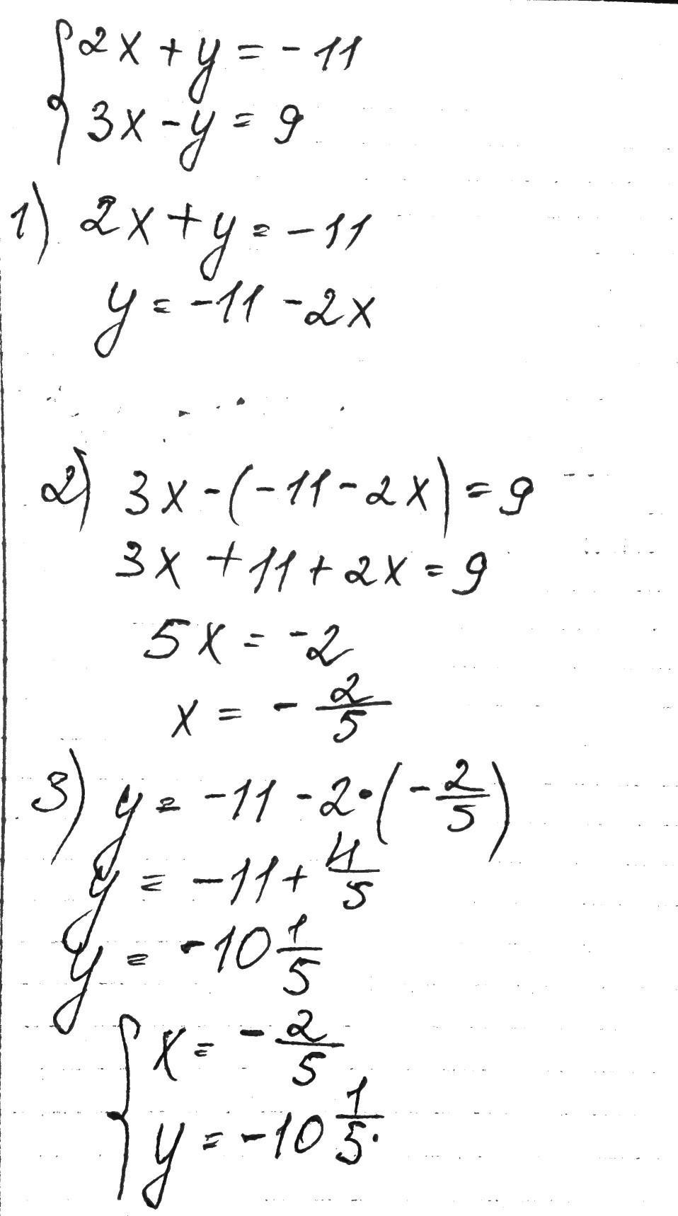
Решите методом подстановки систему уравнений
Приложения:
Ответы
Автор ответа:
1
Объяснение:
))))))))))))))))))))))))))
Приложения:
Похожие вопросы
Предмет: Русский язык,
автор: Alinka7562
Предмет: Литература,
автор: sofaridol
Предмет: Қазақ тiлi,
автор: senkostr
Предмет: Алгебра,
автор: bæv4
Предмет: Математика,
автор: DashaDrozdova